تفاصيل العمل

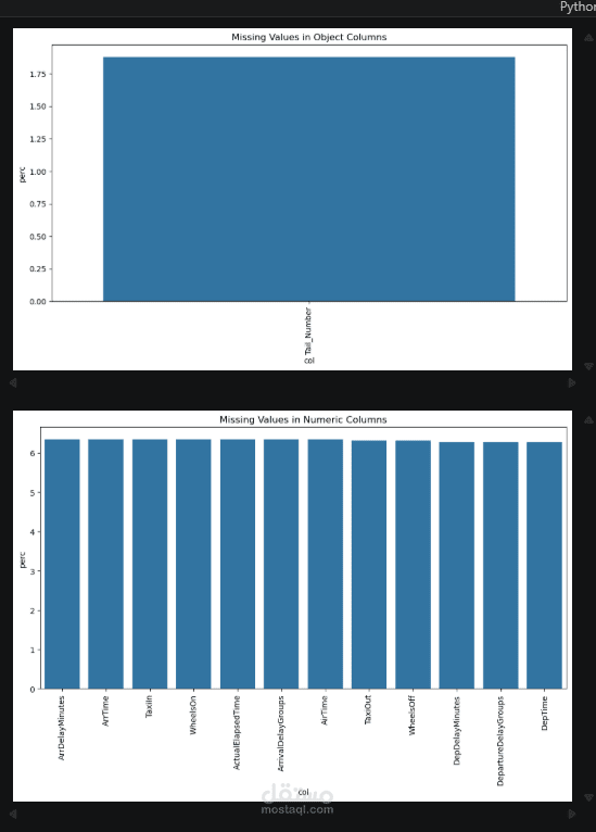
In this project, we explore flight delay prediction

using a dataset with multiple features related to

flight schedules, aircraft, and airport operations.

The goal is to understand patterns in the data,

reduce dimensionality, and identify the most

important features that influence flight outcomes

بطاقة العمل

اسم المستقل
عدد الإعجابات
0
عدد المشاهدات
1
تاريخ الإضافة
تاريخ الإنجاز