تفاصيل العمل

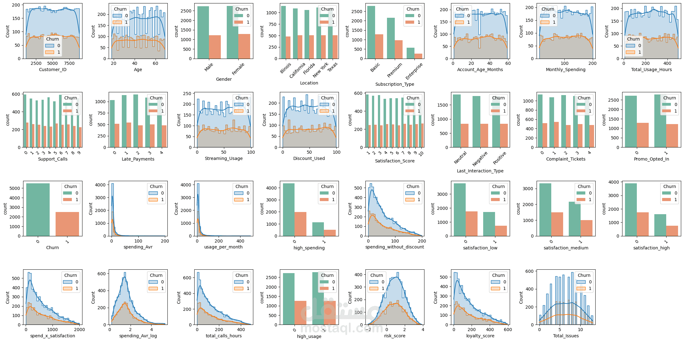
يهدف هذا المشروع إلى التنبؤ بمعدل فقدان العملاء (Customer Churn Prediction) باستخدام تقنيات Machine Learning، وذلك من خلال تحليل بيانات العملاء وفهم الأنماط السلوكية التي تؤدي إلى انسحابهم من الخدمة.

تم بناء المشروع اعتمادًا على بيانات Tabular Data تحتوي على معلومات ديموغرافية، سلوكية، وتفاعلية للعملاء، مثل Usage Behavior، Payment History، Customer Satisfaction وغيرها.

بطاقة العمل

اسم المستقل
عدد الإعجابات
0
عدد المشاهدات
4
تاريخ الإضافة
تاريخ الإنجاز
المهارات