تفاصيل العمل

طوّرتُ نموذجًا للتعلم الآلي للتنبؤ بتسرب العملاء باستخدام مجموعة بيانات بنكية تتضمن خصائص متنوعة للعملاء، مثل:

credit score, age, and loan statuses

• قمتُ بمعالجة البيانات مسبقًا من خلال معالجة القيم الشاذة، وتحديدًا في عمود "credit score"، باستخدام خوارزمية Isolation Forest مع مستويات تلوث مُحسّنة

للحفاظ على المزيد من البيانات وتحسين أداء النموذج.

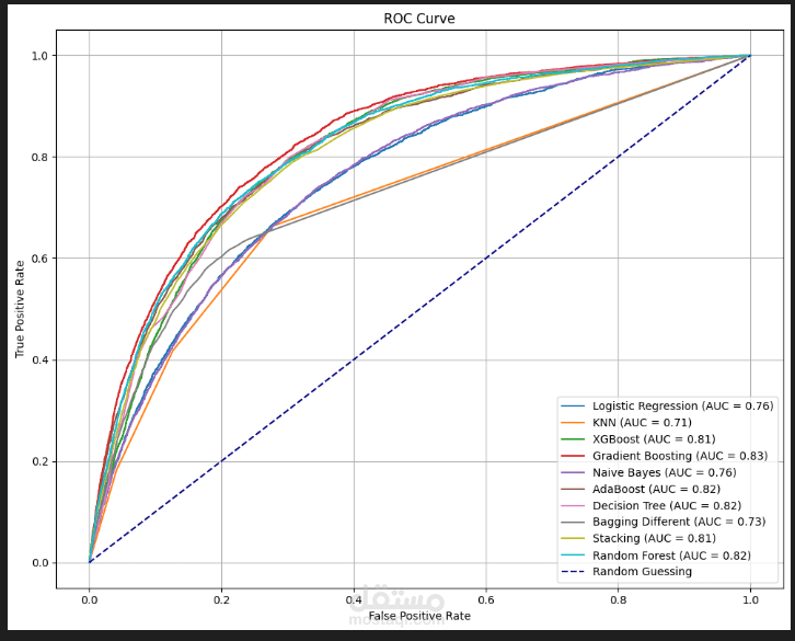
• طبّقتُ logistic Regression للتصنيف، محققًا دقة عالية دون استخدام SMOTE على بيانات الاختبار. عالجتُ مشكلات الoverfitting من خلال اختيار الميزات المناسبة وتوسيع نطاقها باستخدام PowerTransformer وRobustScaler.

• أنشأتُ رسومًا بيانية تفاعلية لعرض احتمالية التسرب بناءً على عوامل رئيسية مثل الدرجة الائتمانية، وحالة القروض، وعمر العميل

مما يوفر رؤى قابلة للتنفيذ لفهم الأنماط الكامنة وراء تسرب العملاء.

• نشرتُ الحل كتطبيق ويب تفاعلي باستخدام Streamlit، مما يسمح بتوقعات فورية لتسرب العملاء بناءً على مدخلات المستخدم

بطاقة العمل

اسم المستقل
عدد الإعجابات
0
عدد المشاهدات
3
تاريخ الإضافة
تاريخ الإنجاز
المهارات