الرئيسية
المستقلين
Hazem W.
معرض الأعمال
اطلب عمل مماثل
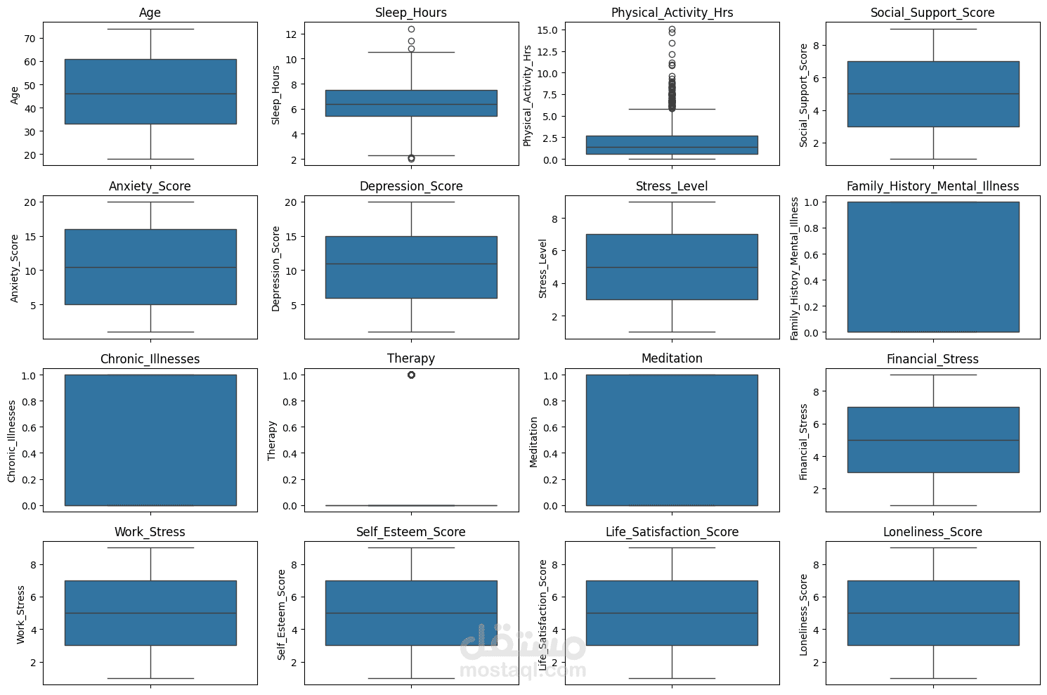
Data preprocessing and visualization using Python
تفاصيل العمل
قمت ياستخدام الpython لتحليل وتصور البيانات
بطاقة العمل
اسم المستقل
Hazem W.
عدد الإعجابات
0
عدد المشاهدات
3
تاريخ الإضافة
18/10/2025
المهارات
معالجة البيانات
بايثون
تحليل البيانات
تصوير البيانات
×