تفاصيل العمل

I handled everything — from data cleaning and analysis to designing the final dashboard in Power BI.

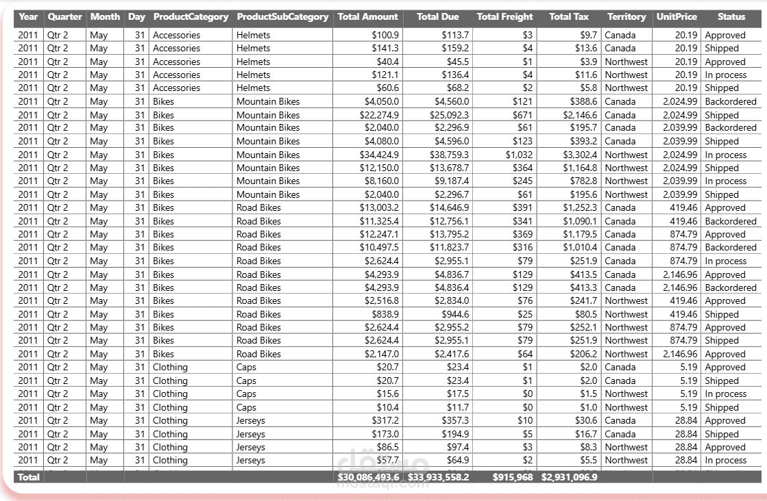
Here are some key insights from the dashboard:

-Canada is leading with over $10.6M in total amount and the highest number of orders.

-Meanwhile, the Central region seems to be on vacation with only 3 orders .

-Bikes category took the spotlight, outperforming all other categories.

-Most orders were either Approved or Shipped, showing an efficient fulfillment process .

Tools:

PowerBI.

بطاقة العمل

اسم المستقل
عدد الإعجابات
0
عدد المشاهدات
20
تاريخ الإضافة
المهارات