تفاصيل العمل

هذا المشروع يهدف إلى تحليل بيانات الرواتب باستخدام تقنيات تحليل البيانات وعلوم البيانات، وذلك لاستخراج مؤشرات أساسية حول سوق العمل وبناء نموذج قادر على التنبؤ بالرواتب بناءً على مجموعة من الخصائص.

--مكونات المشروع:

*قاعدة بيانات منظمة تشمل بيانات تفصيلية عن:

*المستوى التعليمي (Education Level)

*المسمى الوظيفي (Job Title)

*سنوات الخبرة (Years of Experience)

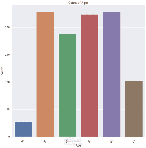
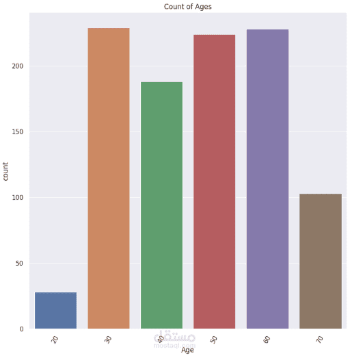
*العمر (Age)

*الراتب الحالي (Salary)

--التحليلات المتقدمة:

*دراسة العلاقة بين مستوى التعليم والراتب.

*تحليل تأثير سنوات الخبرة على الدخل المتوقع.

*مقارنة متوسط الرواتب بين الوظائف المختلفة.

*بناء نموذج تنبؤي باستخدام خوارزميات الـ Machine Learning لتقدير الراتب المتوقع.

*إنشاء رسوم بيانية ولوحات توضيحية تبرز أهم المؤشرات.

--المخرجات:

*تقارير واضحة تسلط الضوء على أهم النتائج.

*استخراج Insights عملية تساعد في فهم العوامل المؤثرة على الرواتب.

*نموذج تنبؤي قابل للاستخدام في تقدير الرواتب المستقبلية.

*إمكانية تقديم البيانات في شكل يسهل ربطه مع أي Dashboard أو نظام تحليلي مستقبلي.

--التقنيات المستخدمة:

*Python (Pandas, NumPy, Scikit-learn, Matplotlib, Seaborn)

*إمكانيات التكامل مع أدوات تصور البيانات (Power BI / Tableau)

بطاقة العمل

اسم المستقل
عدد الإعجابات
0
عدد المشاهدات
8
تاريخ الإضافة
تاريخ الإنجاز
المهارات