تفاصيل العمل

IBM HR Analytics Employee Attrition Dataset

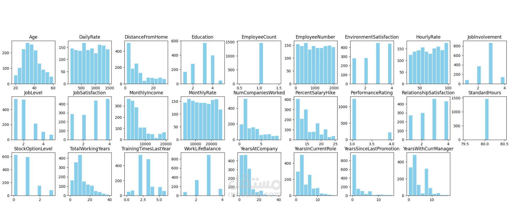
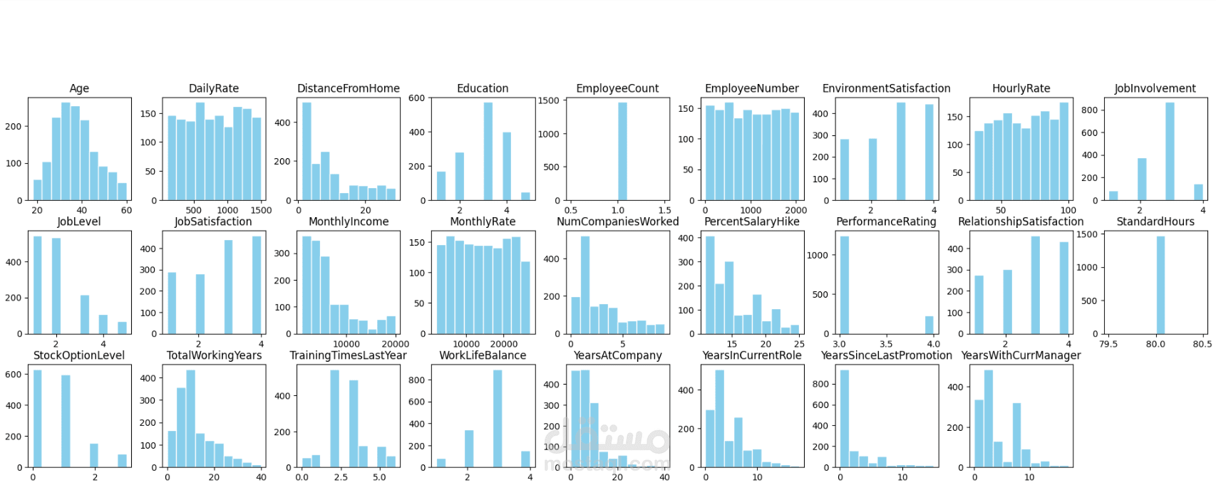
داتا مقدمة من شركة IBM خاصة بالموارد البشرية، وبتستخدم للتنبؤ بترك الموظفين للعمل (Attrition) أو استمرارهم. بتحتوي على معلومات عن الموظفين زي العمر، الوظيفة، مستوى التعليم، الراتب، سنوات الخبرة، بيئة العمل، وساعات السفر. الهدف الأساسي منها هو تحليل العوامل اللي بتأثر على استقرار الموظفين وفهم أسباب الاستقالات.

بطاقة العمل

اسم المستقل
عدد الإعجابات
0
عدد المشاهدات
4
تاريخ الإضافة
تاريخ الإنجاز
المهارات