تفاصيل العمل

نوع العمل: مشروع تحليل بيانات طبيّة وتوقع الإصابة بأمراض القلب باستخدام التعلم الآلي.

الوصف:

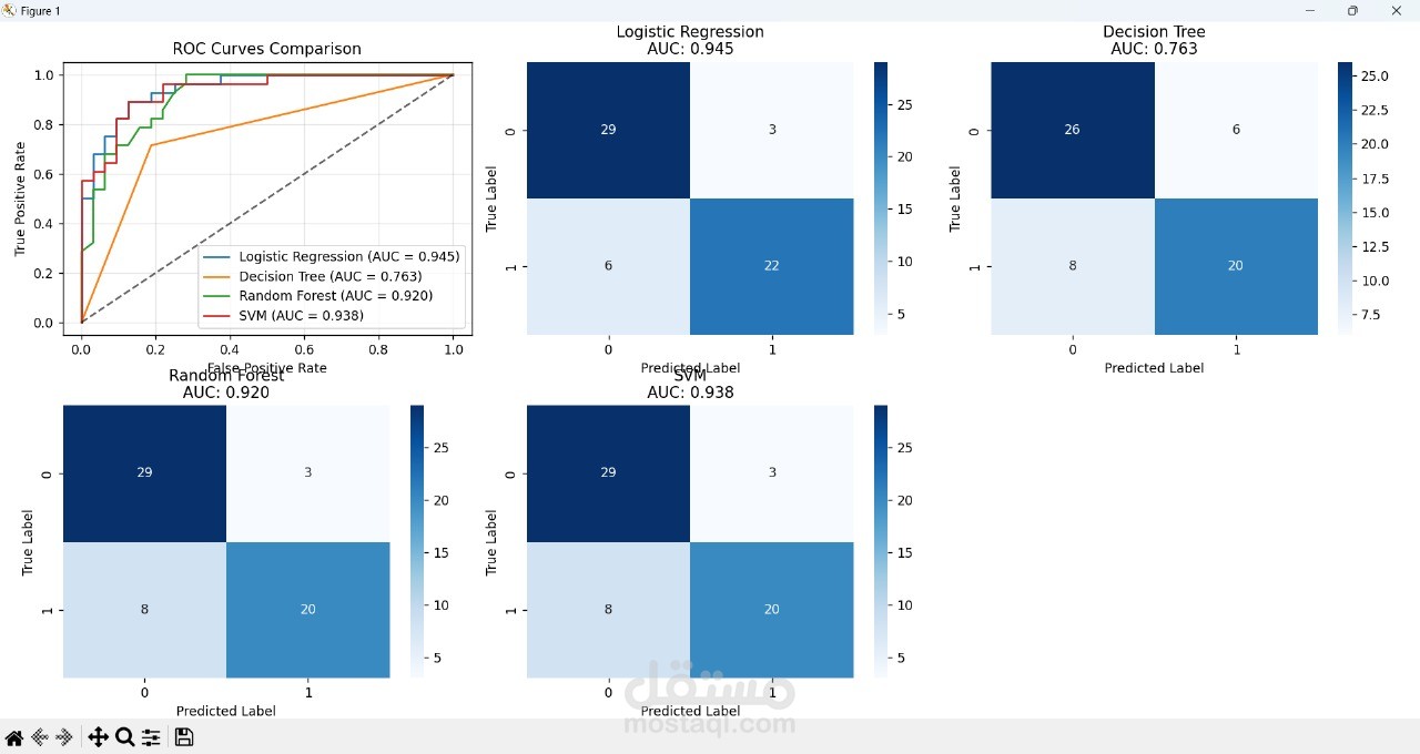
أنشأت خط معالجة بيانات متكامل (ML Pipeline) لتحليل مجموعة بيانات UCI لمرض القلب. المشروع يشمل مراحل تنظيف البيانات، استكشافها، اختيار الخصائص، تدريب نماذج تصنيف متعددة، وتقييم أدائها بدقة.

طريقة التنفيذ:

استخدمت Python مع مكتبات Pandas, Scikit-learn, Matplotlib وStreamlit لعرض النتائج بشكل تفاعلي. النماذج المدربة تم تصديرها بملف .pkl لاستخدامها في تطبيقات مستقبلية.

بطاقة العمل

اسم المستقل
عدد الإعجابات
0
عدد المشاهدات
3
تاريخ الإضافة
تاريخ الإنجاز