تفاصيل العمل

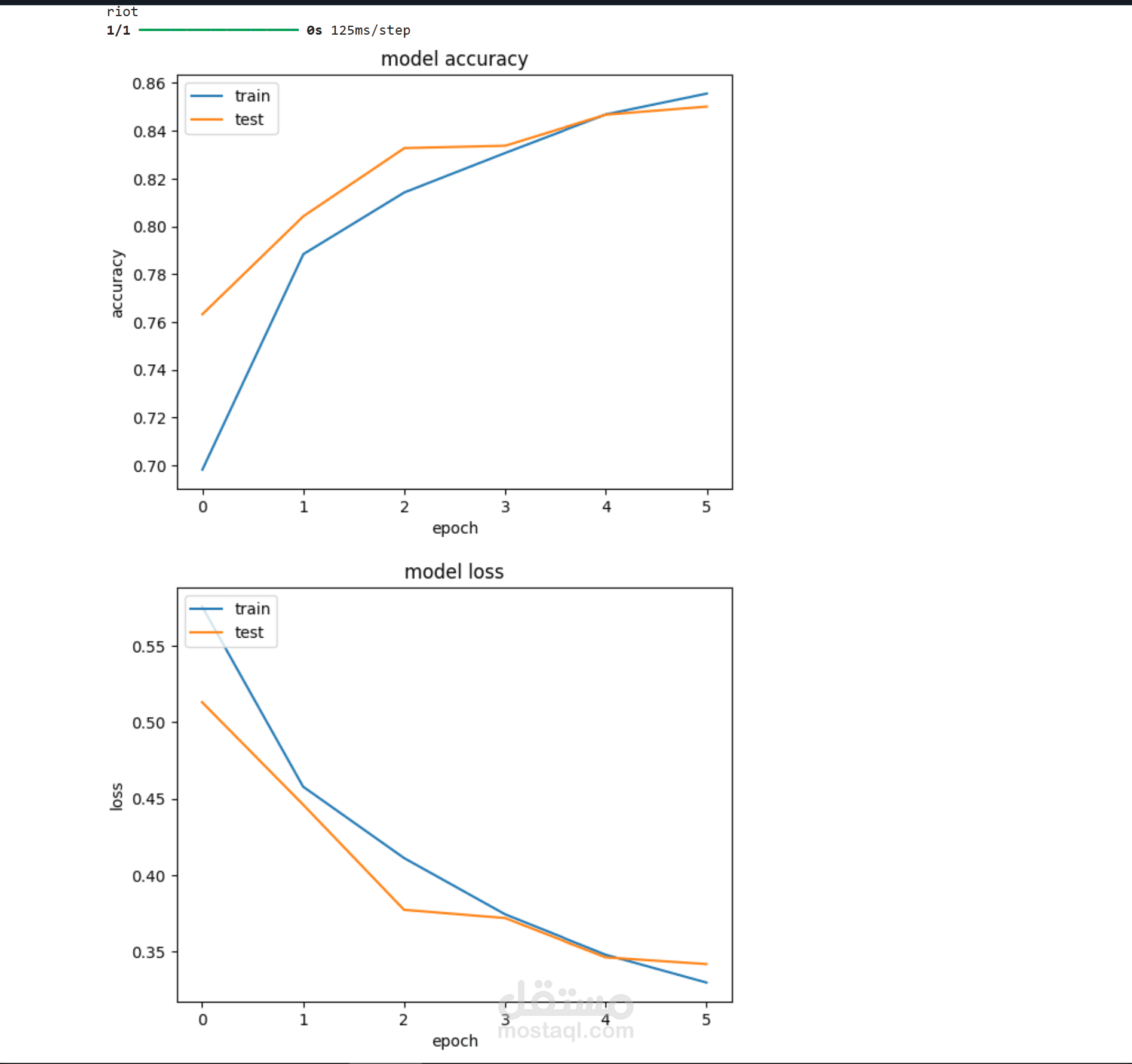
تم تنفيذ مشروع لتحليل المشاعر (Sentiment Analysis) على مراجعات الأفلام من قاعدة بيانات IMDB باستخدام تقنيات التعلم العميق.

المشروع يعتمد على شبكات LSTM مع دمج تضمينات GloVe لاستخراج المعاني من النصوص وتصنيف المراجعات إلى إيجابية أو سلبية.

خطوات العمل شملت:

استكشاف البيانات وتحليل التوزيع والاتزان.

تنظيف النصوص (إزالة HTML، علامات الترقيم، الأرقام، الكلمات الشائعة).

تحويل النصوص إلى Tokenized Sequences مع Padding.

بناء مصفوفة تضمين باستخدام GloVe Embeddings.

بناء وتدريب نموذج LSTM/GRU باستخدام TensorFlow وKeras.

التقييم على بيانات الاختبار وإتاحة تجربة النموذج على نصوص جديدة.

بطاقة العمل

اسم المستقل
عدد الإعجابات
0
عدد المشاهدات
1
تاريخ الإضافة
تاريخ الإنجاز
المهارات