تفاصيل العمل

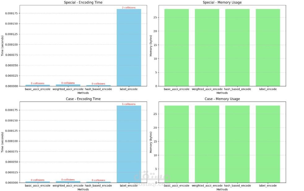
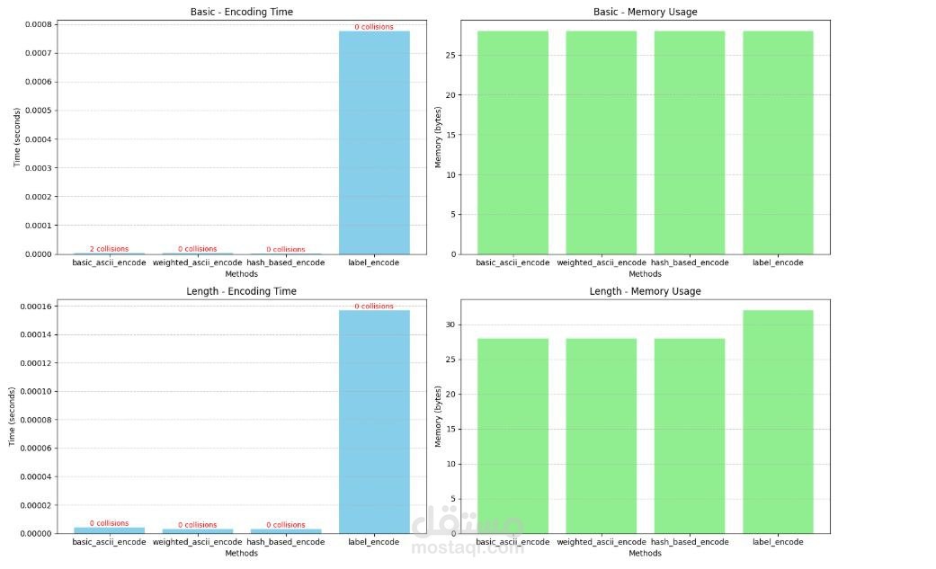
قمت بتطوير وتنفيذ خطوة ترميز البيانات كجزء من خط أنابيب المعالجة المسبقة. يقوم المُرمِّز بتحويل البيانات الخام إلى تنسيق منظم وفعال لعمليات المعالجة اللاحقة. يبرز هذا المشروع الخبرة في هندسة الميزات وتحسين سير عمل تعلم الآلة.

التقنيات المستخدمة:

- Python (Pandas, NumPy) لتطبيق منطق الترميز ومعالجة البيانات

- Scikit-learn لأدوات معالجة إضافية

بطاقة العمل

اسم المستقل
عدد الإعجابات
0
عدد المشاهدات
19
تاريخ الإضافة
تاريخ الإنجاز
المهارات