Employee Turnover Analysis and Retention Strategy Development at Salifort Motors

تفاصيل العمل

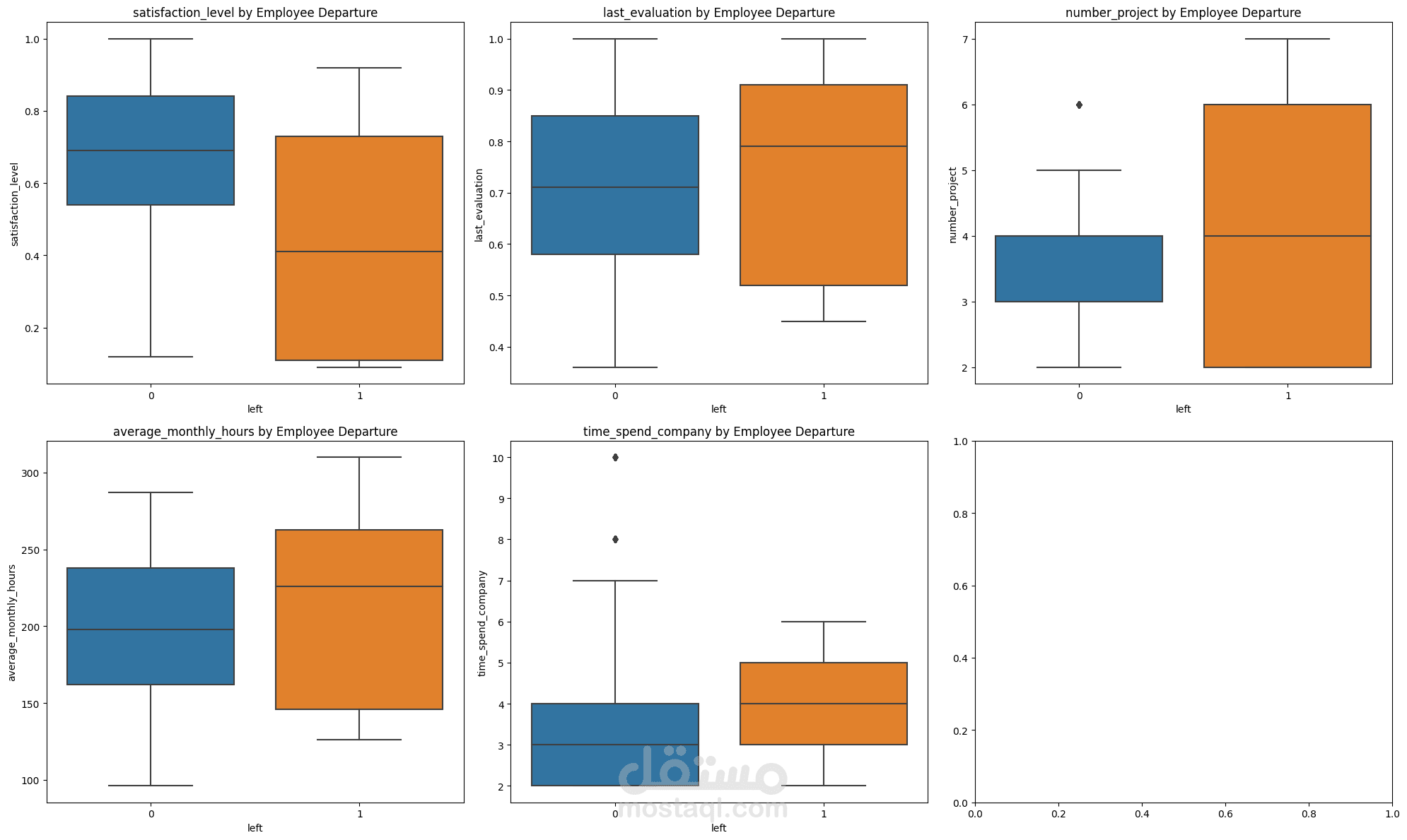
Salifort Motors is experiencing a high rate of employee turnover, impacting productivity, team morale, and overall business performance. This project aims to analyze the company's employee dataset to identify the key factors contributing to this turnover. The project's objective is to develop data-driven recommendations and strategies for improving employee retention and mitigating the negative impacts of turnover on the organization. This project is commissioned by the HR department.

بطاقة العمل

اسم المستقل
عدد الإعجابات
0
عدد المشاهدات
70
تاريخ الإضافة
المهارات