تفاصيل العمل

تصور البيانات مع 11 سؤال تجاري

هذا المشروع هدفه تحليل البيانات المصرفية من خلال الإجابة على 11 سؤال تجاري مهم باستخدام تقنيات تصور البيانات. بنحلل البيانات للإجابة على الأسئلة دي، اللي بتهدف لتحليل سلوك العملاء ومعايير الحصول على قروض شخصية.

محتوى الأسئلة التجارية:

ما هو نطاق الأعمار في بنكي؟

هنشوف الأعمار المتاحة في البيانات ونعرف الفئات العمرية اللي بتتعامل مع البنك.

ما هي الأعمار التي يمكن أن تأخذ قرض شخصي؟

هنحلل الأعمار اللي بتميل أكتر لأخذ القروض الشخصية.

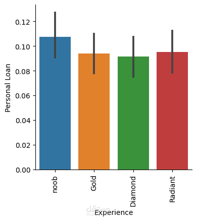
هل تحتاج إلى سنوات كثيرة من الخبرة للحصول على قرض شخصي؟

هنشوف إذا كانت سنوات الخبرة بتأثر على الموافقة على القروض.

هل صحيح أنك تحتاج إلى نسبة تعليم عالية للحصول على قرض شخصي؟

هنحلل تأثير التعليم على احتمالية الحصول على القرض.

إذا كان لديك عائلة كبيرة، هل يمكنك بالتأكيد الحصول على قرض شخصي؟

هنشوف إذا كانت العائلة الكبيرة بتدي أولوية أو فرصة أكبر للقرض.

هل يجب أن تأخذ أكثر من رهن عقاري للحصول على قرض شخصي؟

هنشوف إذا كان الشخص محتاج يكون عنده رهون عقارية أخرى.

ماذا عن بطاقة الائتمان؟

هنحلل تأثير امتلاك بطاقة ائتمان على الحصول على قرض شخصي.

هل يجب أن يكون لديك ضمانات في حسابك للحصول على قرض شخصي؟

هنشوف إذا كان وجود ضمانات في الحساب بيأثر.

هل تؤثر المعاملات عبر الإنترنت على الحصول على قرض شخصي؟

هنشوف إذا كان استخدام المعاملات الرقمية بيزيد من فرص الحصول على القرض.

هل تحتاج إلى معدل إنفاق عالي على بطاقة الائتمان للحصول على قرض شخصي؟

هنحلل إذا كان إنفاق عالي على البطاقة الائتمانية بيساعد في الموافقة على القرض.

ما هي العلاقة بين الميزات والتسمية؟

هنحلل العلاقة بين مختلف الخصائص والتصنيفات اللي عندنا في البيانات.

الأدوات المستخدمة:

بايثون: اللغة الأساسية للتحليل.

Pandas: لتحميل وتنظيم ومعالجة البيانات.

Matplotlib: لرسم البيانات وتصور العلاقات المختلفة.

Seaborn: مكتبة إضافية لتصور البيانات بسهولة وتقديم الرسوم البيانية.

مراحل التنفيذ:

تحضير البيانات: بنبدأ بتحميل البيانات وتنظيفها باستخدام Pandas.

تحليل كل سؤال: لكل سؤال، بنشوف البيانات المتاحة ونبدأ نعمل رسوم بيانية باستخدام Matplotlib وSeaborn.

استخلاص النتائج: بعد كل تحليل، بنستخلص النتيجة اللي بتجاوب على السؤال بشكل واضح

بطاقة العمل

اسم المستقل
عدد الإعجابات
0
عدد المشاهدات
15
تاريخ الإضافة
تاريخ الإنجاز
المهارات