تفاصيل العمل

transfer learning is a machine learning technique where a model trained on one task is reused or adapted for another related task. In the context of image classification, transfer learning involves taking a pre-trained neural network model, typically trained on a large dataset such as imageNet and using it as a starting point for a new classification task with a different dataset.

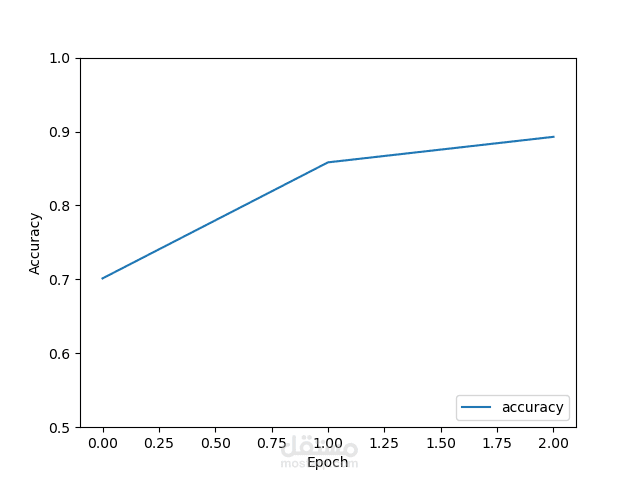
accuracy achieved about 90% as shown from graph

procedures

load mobilenetv2 using tensorflow keras

load our dataset

freeze layers except last layer and replaced with our layers that meet classification problem

training our model

save model

test model with new dataset

بطاقة العمل

اسم المستقل
عدد الإعجابات
0
عدد المشاهدات
87
تاريخ الإضافة
تاريخ الإنجاز
المهارات