Quantity Survey for Structural & Architecture Elements (Steel - Concrete -Finishing - Decoration)

تفاصيل العمل

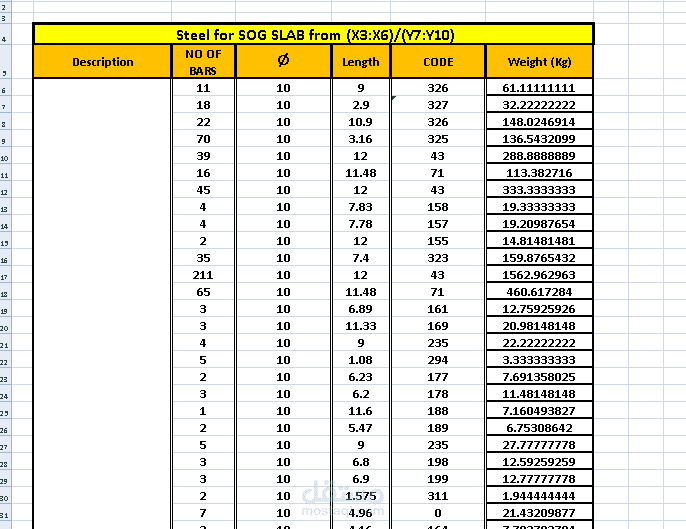
Make Quantity Survey For any kind of Civil or Architecture From Drawings into Excel Sheets with 100% Accuracy

ملفات مرفقة