تفاصيل العمل

supervised machine learning problem using different machine learning approaches (support vector machines - logistic regression-knn-Random forest)

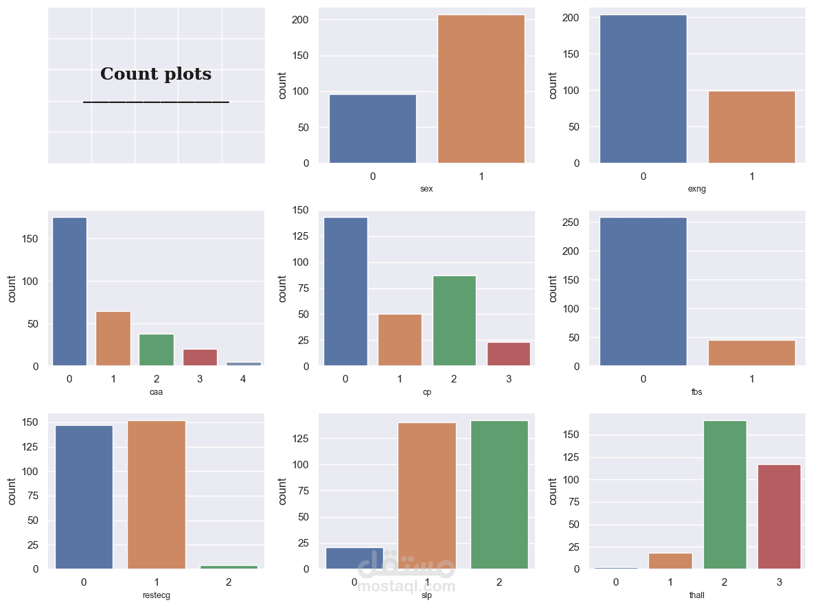
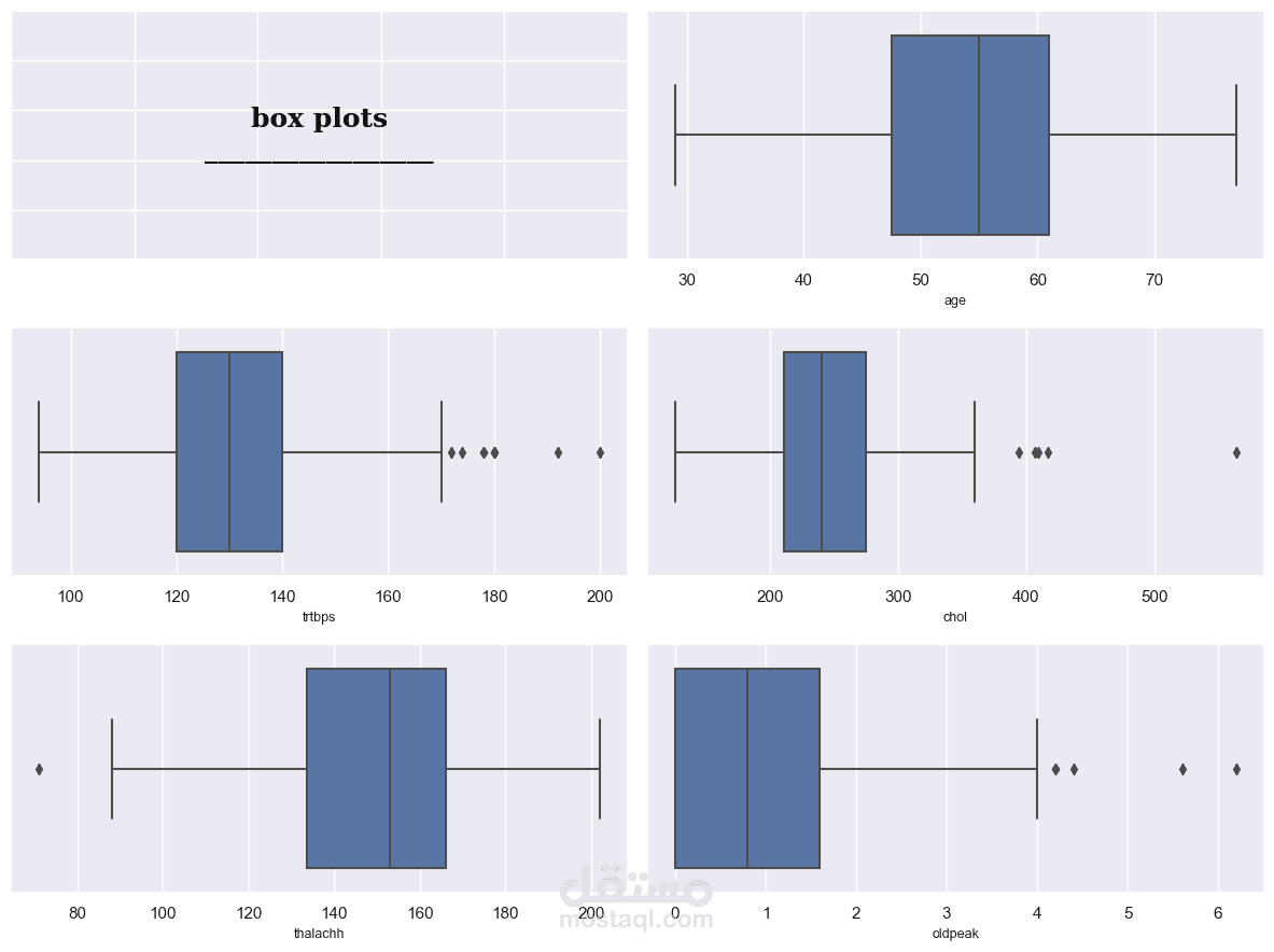
In this project I made a machine learning model to detect heart attack patients and classify them to predict the possibility to have this illness in the future

the data was from Kaggle and In this project I was part of a team of my colleges

بطاقة العمل

اسم المستقل
عدد الإعجابات
0
عدد المشاهدات
94
تاريخ الإضافة
تاريخ الإنجاز
المهارات