الرئيسية
المستقلين
Mohamed S.
معرض الأعمال
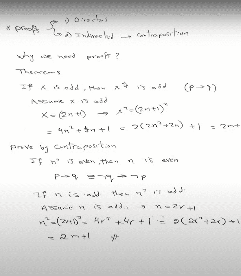
Discrete Mathematics Demo
معرض الأعمال
اطلب عمل مماثل
تفاصيل العمل
Discrete Mathematics Demo
معاينة
بطاقة العمل
اسم المستقل
Mohamed S.
عدد الإعجابات
0
عدد المشاهدات
40
تاريخ الإضافة
15/03/2023
×